Yesterday, I wrote about carefully scaffolded teaching. Today, I’m writing about how my Algebra 1 students learned how to expand the product of two binomials using worksheets and zero direct intruction.
There are a number of ways to motivate the study of quadratic functions: projectile motion, number patterns (for example, triangular numbers), and areas of rectangles. I’m sure there are other ways, but these are some of the few I’ve seen.
I chose to use the area model to introduce my students to quadratic functions. On Wednesday, I used Algebra Tiles and had students review the length, width, area and perimeter of each of the three Algebra Tile pieces. (The three pieces are shown at the top of image of Page 1-front below.) I had students build various rectangles out of the Algebra Tiles on top of personal whiteboards. I had them write out the length, width, and area of the rectangles on their whiteboard while I walked around the room checking students’ answers.
The goal of Wednesday’s class was for students to see how the area model could be used to explain the distributive property. For example, the picture below is of a shape that has width 2x+3, length x. Students already knew how to calculate the area just by counting up the types of tiles, so they knew the area was 2x2+3x. I challenged them to reconcile this knowledge with the fact that area of a rectangle = length * width = x(2x+3).
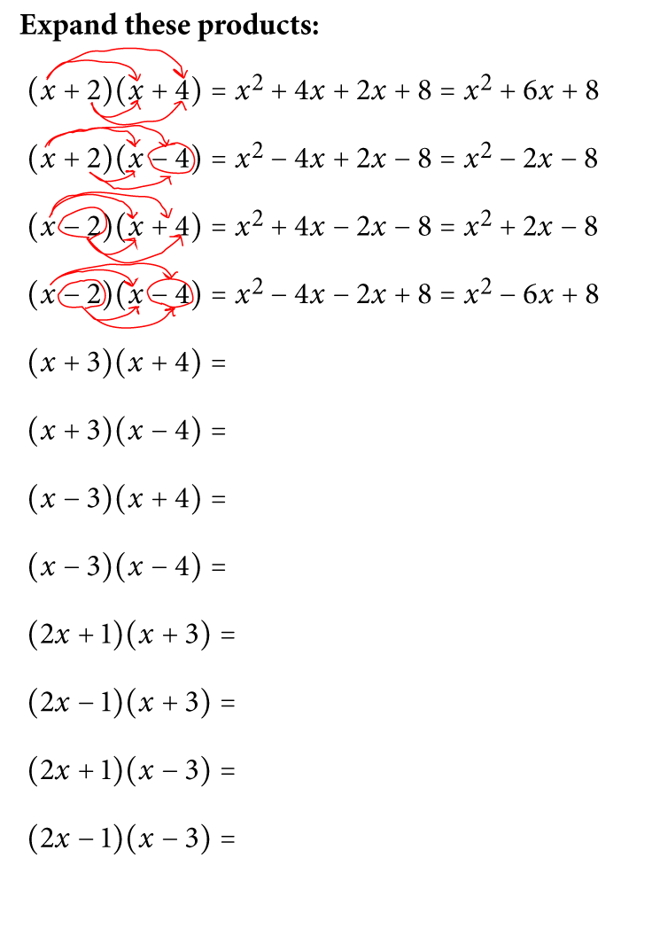
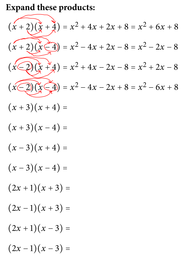
So, now that the stage is set, here is what happened today. I prepared a series of four worksheets (each double sided) to lead students to being able to expand the product of two binomials, for example (x+3)(x+4)=x2+7x+12. Each time a student finished a worksheet, he/she gave it to me to check, then I allowed her/him to get the next one. The worksheets were sitting in piles at the side of the room.
While students worked, I walked around the room, answered questions and checked completed worksheets. Depending on students’ abilities, I would either point out the precise location of errors, or just indicate that there were errors and that students had to find them.
The whole thing went more smoothly than I expected. A majority of the students were able to go from simple distribution problems like x(2x+3) to (2x+3)(x-1) by the end of the day, and most of these students did it without me saying a word to them. I asked students who finished early to answer questions for others, and they seemed to do so happily and without giving away answers. The students who did not make it through were the ones who have consistently not put in any effort this whole year.
Here are the worksheets.







One problem with the area model is that it becomes slightly problematic when you start including negative numbers, for example (x+3)(x-7). However, I made sure to remove the area of the rectangle as a scaffold before introducing positive and negative numbers.
So, what will happen next in my Algebra 1 class? I will need to think carefully about how far my students got, how much practice they need, and what kind of scaffolding I will provide. I may use a bit of direct instruction.

One quick consideration is what you might do about an expansion like (x + y + 2)(x – 3). I really like what you did on the front of page 3, with the “not scaling”. This can be continued to the point where the “x” isn’t any different in apparent length to the “3″ or even the “-3″. Then it just becomes a 2×2 box and you fill in each piece with a product, and the case I mention is just a 3×2 box.
(This also helps defeat an implicit assumption in algebra tiles, which is that x is always positive and larger than 1…)
These are excellent materials. More, more! I especially like that you are getting the students to reason about why things work, rather than just teaching them FOIL … a head-scratching technique if there ever was one.
[…] I wrote in a previous post, I used Algebra Tiles and the “general area model” to help students calculate the […]